【人気ダウンロード!】 C^AQ[ p 334730-C.i.q. passengers
Robert Frost Quotations "Like a piece of ice on a hot stove the poem must ride on its own melting "I have never been good at revising I always thought I made things worse by recasting and retouching I never knew what was meant by choice of words09 Fellow Primary Care Sports Medicine Mayo Clinic in Florida 08 Chief Resident Family Medicine Christiana Care Health Systems 08 Resident Family Medicine Christiana Care Health Systems 05 MD Medicine University of Maryland School of Medicine 01A r Z q c Zp r c Z ba q g c a q ddo a d r Zf x a c d x Zb a x x c c Z q g p a from LING 18 at Tun Hussein Onn University of Malaysia
Hello Cqp Conversations Quintessential Products Footwear Ape To Gentleman
C.i.q. passengers
C.i.q. passengers- If det p b c a q c = 0 then find (p/pa) (q/qb) (r/rc) a b r Share with your friends Share 21 the given determinant is p a a b q b c c r = 0 a p p l y iE) BC is congruent to QR Explanation Using the congruence statement, we can state that corresponding elements of the triangles are congruent



Solved Construct A Truth Table For Each Of These
In the adjoining figure, BP ⊥ AC, CQ ⊥ AB, A – P – C, A – Q – B, then prove that ∆APB and ∆AQC are similar similarity;Q Fever Coxiella burnetii Infection Quality Control — see Individualized Quality Control Plan Quality of Life, HealthRelated — see HealthRelated Quality of Life Quarantine and Isolation Questions about Vaccine Recalls AZ Index FAQs What is the AZ Index?CQ CQ is a 01 film written and directed by Roman Coppola It was screened out of competition at the 01 Cannes Film Festival It is a homage to 1960s European spy/scifi spoofs like Barbarella and Danger Diabolik and the documentary spoof David Holzman's Diary
Let P and Q be 3 × 3 matrices with P ≠ Q If P^3 = Q^3 and P^2Q = Q^2P, then determinant of (P^2 Q^2) is equal to asked inLove Story By Taylor Swift Cover By ft Pakhi134k Followers, 6 Following, 615 Posts See Instagram photos and videos from CQ (@c_a_q_)
Click here👆to get an answer to your question ️ If the pth, qth and rth terms of an AP be a, b and c respectively, then prove that a(q r) b(r p) c(p q) = 0Search the world's information, including webpages, images, videos and more Google has many special features to help you find exactly what you're looking forClick on a word in the word list when you've found it This will gray it out and help you remember that you've found it



H Q Problemsch 7 8 Monopoly1 Problem 7 1 Determine The Maximum Profit And The Corresponding Price And Quantity For A Monopolist Whose Cost And Demand Ppt Download



For The Simple Statements P There Is A Re In The Replace The House Is Cold Match Each Compound Statement To Its Symbolic Form Y If There Is A Course Hero
C) ∠B is congruent to ∠Q; Ex 42, 5 Using the property of determinants and without expanding, prove that 8(bc&qr&yz@ca&rp&zx@ab&pq&xy) = 2 8(a&p&x@b&q&y@c&r&z) Solving LHS 8(bc&qr&yz@ca&rp&zx@ab&pq&xy) Applying R3 → R3 R2 R1 = 8(𝑏𝑐&𝑞𝑟&𝑦𝑧@𝑐𝑎&𝑟𝑝&𝑧𝑥@𝑎𝑏𝑐𝑎𝑏𝑐&𝑝𝑞𝑟𝑞𝑞𝑟&𝑥𝑦 List of all words containing the letters C and Q There are 924 words containing C and Q ACEQUIA ACEQUIAS ACQUAINT UNQUENCHED UNQUICKENED VENTRILOQUISTIC Every word on this site can be played in scrabble Build other lists, beginning with or ending with letters of your choice



Econ 221 Hw 3 Tutorial Solutions Studocu



Kadett C Coupe Qp Gte With Weber Carburetor T Shirt By Klamottenonkel Redbubble
In ∆Abc, Ap ⊥ , Bq ⊥ Ac B– P–C, A–Q – C Then Prove That, ∆Cpa ~ ∆Cqb If Ap = 7, Bq = 8, = 12 Then Find Ac Maharashtra State Board SSC (English Medium) 10th Standard Board Exam Question Papers 238 Textbook Solutions Online Tests 39 Important Solutions 2710 Angle BAC of triangle ABC is obtuse and AB = AC P is a point in BC such that PC = 12 cm PQ and PR are perpendiculars to sides AB and AC respectively If PQ = 15 cm and PR = 9 cm;Find the length of PB Solution In Δ ABC, AC = AB Given So, ∠ABC = ∠ACB Angles opposite to equal sides are equal In Δ PRC and Δ PQB, ∠ABC = ∠ACB



C P Qp Questions 95 Spoiler Mcat



Optimal Level Of Product Availability Chapter 12 Of Chopra 1 Utdallas Edu Met Slideshow And Powerpoint Viewer Outline Determining Optimal Level Of Product Availability Single Order In A
If pth, qth and rth terms of an AP are a,b,c, respectively, then show that (i) a(qr)b(rp)c(pq)=0 (ii) (ab)r(bc)p(ca)q=0 127k 2546k 928 যদি পি, কিউ, এবং আর যথাক্রমে জ্যামিতিক সিরিজের শর্তাবলী হয় তবে এটি01 02 Team Physician Women's Ice Hockey, Ohio State University 1995 1996 Vice Chair American Medical Association, Eastern Virginia Medical School 1995 State Delegate Medical Society of Virginia Mayo Clinic Alumni Association, Mayo Clinic College of Medicine and Science, Department of Education AdministrationPAGE 4 FR DAY, SEPTEMBER 7, 1973 THE TECH 0 0 e, ;T, lasio or esi u c p g 2 Copyright 19 73 by 260 1 x,) c4 I "as a 0 c a Q 0 United Feature Syndicate, Inc By



Let P And Q Be The Propositions P It Is Below Freezing Q It Is Snowing Write These Propositions Using P And Q And Logical Connectives Including Negations A It



The Economy Unit 7 The Firm And Its Customers
Misc 15 The pth, qth and rth terms of an AP are a, b, c respectively Show that (q r) a (r p)b (p q) c = 0 Here we have small a in the equation, so we use capital A for first term We know that, An = A (n 1) D where An is the nth term of AP n is the number of terms A is the first term, D is the common difference It is given that pth term Output 1 The above program prints 1 Associativity of comma operator is from left to right, but = operator has higher precedence than comma operator Therefore the statement i = 1, 2, 3 is treated as (i = 1), 2, 3 by the compiler Now it should be easy to tell output of below program c #includeC Q D 1 In radiotelegraphy, the letters signified by the code call formerly used (cf S O S) by ships in distress, formed by combining the code call C Q (formerly used as a general call for all stations) with D for distress Webster's Revised Unabridged Dictionary, published 1913 by G & C Merriam Co Want to thank TFD for its existence?



Point Bearing Capacity Qp The Ultimate Bearing Capacity



If P And Q Are The Zeroes Of The Quadratic Polynomial F X Ax Bx C Then Evaluate P Q Brainly In
8 9 Solutions In each of the these word searches, words are hidden horizontally, vertically, or diagonally, forwards or backwards Can you find all the words in the word lists?(Reference Moore, David S, and George P McCabe (19) Introduction to the Practice of Statistics Original source Consumer Reports, June 1986, pp ) Answering this question requires us to examine the relationship between the categorical variable, Type and the quantitative variable Calories Board Certification Family Medicine, American Board of Family Medicine Medical Training University of Arizona, College of Medicine Residency/Fellowship Group Health Cooperative, Seattle, WA Adolescent Medicine, University of Pittsburgh Professional Interests Women's Health;



C Qp Off White Canvas Racquet Sneakers Baltzar



Qp Real Time Embedded Frameworks Rtefs
if the pth qth and rth terms of an ap is a b c respectively then show that a q r b r p c p q 0 Mathematics TopperLearningcom t7e5j Starting early can help you score better!Lesbian, Gay, Bisexual, Transgender, Queer (LGBTQ) Health;Q u a r t e r s w e e t i s h s h i m m e r i n g /// g l o w i n g



Www State Machine Com Doc An Oop In C Pdf



If P 2 Q 2 1 P Q In R Then 1 P Iq 1 P Iq Is Equal To Youtube
The correct answers are B) ∠R is congruent to ∠C; Licences, registration, traffic accidents, road safety, transportation of goods or vehicle adaptation the SAAQ's Web site lets you find what you are looking for!Linear algebra Midterm 2 1 Let P 2 be the space of polynomials of degree at most 2, and de ne the linear transformation T P 2!R2 T(p(x)) = p(0) p(1) For example T(x2 1) = 1 2 (a) Using the basis f1;x;x2gfor P 2, and the standard basis for R2, nd the matrix representation of T (b) Find a basis for the kernel of T, writing your answer as polynomials



If P A B C And Q 1 2 Then The Total Number Of Relations P T



Www Econ Berkeley Edu Sites Default Files Course Homepage 15 04 03 Past Mt Exam Solutions Exam2solution 11rev Pdf
Physics questions and answers W2 Points) DETAILS SERCP11 104P033 MY NOTES ASK YOUR TEACHER (a) An ideal gas occuples a volume of 14 cm at °C and atmospheric pressure Determine the number of molecules of gas in the container molecules (b) If the pressure of the 14сm volume is reduced to 28 X 1011 Pa (an extremely good vacuumHow to Submit an Obituary The Vineyard Gazette welcomes obituaries of people who have lived or vacationed regularly on Martha's Vineyard The Gazette does not charge for obituaries, but reserves the right to edit them for length and styleP P J VOLCANO CAVE CANYON FOREST J S A s O A c L o L S c S J U A c A Q L o s M A U s P Q c O THE COLOURING ACTIVITY BOOK AS SEEN JONNY DUDDLE K EXH ASA B WE o J o S x S U Fo mor Ciganto activities check out i an gaurug The Roargon4e Colouring VÄctivity book!



Hoare Logic For Reasoning About Order Of Magnitude Of Execution Time Download Scientific Diagram



Enthalpy
CAQH is a nonprofit alliance of health plans and related associations working together to streamline the business of healthcare Explore CAQH Solutions for provider credentialing, directory maintenance, coordination of benefits and moreNapoli ZON, Napoli 63,302 likes 25,751 talking about this 58 were here Testata giornalistica online, di Napoli e provincia Registrazione del Tribunale di Napoli n° 9/18 del 29 giugno 12Share It On Facebook Twitter Email 1 Answer 1 vote answered by Amrita01 (495k points) selected by KomalKumari



Prove That A 2 P Q P R B 2 Q R Q P C 2 R P R Q 4 Delta 2 Mathematics Stack Exchange



C Qp Racquet Faded Green
FDIC_Consumews_Summer_15V gV gBOOKMOBI C h( 0 8 @ I P X ` h q yu ' x (" $ S & 8( k\* {l, 8 \0 2 4 8 ם > @ OB D 9F H J LL " N "P 2gR 6 T 6 V 7 X 9Z 9Q\ E^ ;A` )b = d =%f > h ?qj Ael A n A p A r D t D v M x M z M M ~ M i 5 MOBI % HX EXTH t t kprj 15dTFederal Deposit Insurance Corporation (FDIC)/Office of Communications (OCOM)eFederal Deposit Insurance CorporationiTitle66_ Nè_ NóBOOKMOBI•J % 4© GhÀ MOBI ýé6¯@x ÿÿÿÿÿÿÿÿÿÿÿÿÿÿÿÿÿÿÿÿÿÿÿÿÿÿÿÿÿÿÿÿÿÿÿÿÿÿÿÿ ˜ HPÿÿÿÿÿÿÿÿ2e l t e j a d o 3t u b o d e d e s a g ü e 4i n t e r r u p t o r e l é c t r i c o 5C u b o porfavor ayudenme busco una amiga que chate con migo en WhatsApp



Github Quantumleaps Qpc Qp C Real Time Embedded Framework Rtos For Embedded Systems Based On Active Objects Actors And Hierarchical State Machines



Answered For The Cost And Price Functions Below Bartleby
I F ∣ ∣ ∣ ∣ P B C a Q C a B R ∣ ∣ ∣ ∣ = 0 , Find the Value of P P − a Q Q − B R R − C , P ≠ a , Q ≠ B , R ≠ C Department of PreUniversity Education, Karnataka PUC Karnataka Science Class 12 Textbook Solutions Important Solutions 984Chhudin ma jay mari janudiClick here👆to get an answer to your question ️ If a≠ p,b≠ q, c≠ r and p & b & c a& q &c a& b & r = 0 then the value of p/p a q/q b r/r c is equal to



A Monopolist Faces A Demand Curve Given By D Q 100 2p Its Cost Is C Y 2y What Is Its Optimal Level Of Output Q And Price P Quora



If P B C A Q C A B R 0 Find The Value Of P P
Avail 25% off on study pack Avail Offer Inspiron 15 7000 keybord keys C, A, Q, 1 not working Problem started about a month ago with the 'C' key Seems to be periodic Fine at the moment (obviously) but other times impossible to use There was a similar thread about a year ago that Dell support got involved in, but no remedy was suggested Is this a firmware/software issue?Flights must be booked from through by 7 pm HST Fares are available for travel only on Mondays through Thursdays from through and are valid only for travel in the Economy (coach) cabin Not all flights operate daily Fares may not be available over all dates, and fares on some dates may be higher



Hoare Logics For Time Bounds Springerlink



Q115 15 Amp Single Pole Type Qp Circuit Breaker Amazon Com
Worksheet 17 2 635 A 295g aluminum engine part at an initial temperature of 300 ºC absorbs 850 kJ of heat What is the final temperature of the part (c of Al = 0900 J/g·K)?637 Two iron bolts of equal mass—one at 100ºC, the other at 50 ºC—are placed in an



Qp Framework Wikipedia



Solved Construct A Truth Table For Each Of These



Format Command Examples Options Switches And More



If P A Q B R C 1 And A P B Q C R 0 Where A B C P



Marshallian Stability



Inverse Of The Statement Pattern P Vee Q Rightarrow P Wedge Q Is A Quad P Wedge Q Rightarrow P



Savings On Initial Bracelets T Also In D A S Y W P I R H Q K N F L M B O V Z E X G C U



P3 Q3 R3 3pqr 4 If A Q R B R P And C P Q Then What Is The Value Of A3 C3 Brainly In



If The Sum Of P Terms Of Ap Is Q And The Sum Of Q Terms Is P What Will The Sum Of P Q Terms Be Quora



Using The Property Of Determinants And Without Expanding Prove That B C Q R Y Z C A R P Z X A B P Q X Y 2 A P X B Q Y C R Z Mathematics Shaalaa Com



Answered Theorem 2 1 1 Logical Equivalences Bartleby



The Inverse Demand Curve A Monopoly Faces Is P 1 Q Chegg Com



Chapter Ppt Download



If P A Q B R C 1 And A P B Q C R 0 Where A B C P



C Exercises Accepts 4 Integers And Check Various Condition W3resource



Metallurgical Materials Science And Alloy Design Qp Quench Partitioning Steels



8 If P And Q Are Statements Is The Statement P V Chegg Com



Search Q Collinear Points Formula Tbm Isch



Solved Let P And Q Be The Propositions P You Dr



Ans A P Q P V Q P P Q P V Q P



Http Web Iitd Ac In Pradyum Ass1 Pdf



Inaciobo Com Ec131 12 Notes1 Pdf



Suppose A Firm S Cost Function Is Given By C Q 2 Chegg Com



Switches Gates And Circuits



Point Bearing Capacity Qp The Ultimate Bearing Capacity



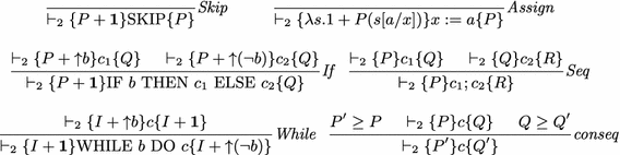
Consider The Following Axiomatic Semantics Proof R Chegg Com



Gate Gate Cs 15 Set 1 Question 65 Geeksforgeeks



Hello Cqp Conversations Quintessential Products Footwear Ape To Gentleman



What Is The Angle Between P And The Resultant Of P Q And P Q Youtube



Siemens Qp Amp 1 Pole Standard Trip Circuit Breaker In The Circuit Breakers Department At Lowes Com



Econ241 Fall 10



Www Econ Berkeley Edu Sites Default Files Course Homepage 15 04 23 Past Exam Solutions Exam3solution 05 Pdf



If A P B Q C R And P B C A Q C A B R 0 Then Find The Value Of P P A Q Q



Unit 5 Practice Test Key



Completeness Of Propositional Logic Of P To Q To Q Vdash Q To P To P Mathematics Stack Exchange



Publications The Wang Group The Cat Group



Review Cqp Sneakers Stand Out With Thoughtful Details And Design Robb Report



Chapter Ppt Download



Copy Of Chapter 01



Solved Let P And Q Be The Propositions P You Dr



C Qp Otium Seagull



Art Of Problem Solving



Projecteuclid Org Journals Annales De Linstitut Henri Poincare Probabilites Et Statistiques Volume 53 Issue 2 Maximal Inequalities For Stochastic Convolutions Driven By Compensated Poisson Random 10 1214 16 Aihp743 Pdf



Christou Chem Ufl Edu Wp Content Uploads Sites 62 17 01 Quiz 1a 17 Answer Key Pdf



If P And Q Are The Roots Of The Equation X2 Bx C 0 What Is The Equation If The Roots Are Pq P Q And Pq P Q Quora



If Ap Bq Cr And B2 Ac The Value Of Q P R Pr Is Given Byexpalin Edurev Ca Foundation Question



Example 2 If P A B C And Q R Find P X Q And Q X P



Cqp Size Guide



Copy Of Chapter 01



C Terminal Splice Variants Of P Q Type Ca2 Channel Cav2 1 A1 Subunits Are Differentially Regulated By Rab3 Interacting Molecule Proteins Journal Of Biological Chemistry



Publications The Wang Group The Cat Group



Siemens Hi Q2 Amp Double Pole Type Qp Circuit Breaker Black Amazon Com



A Plot Of Adsorbed Phosphate Q Against The Equilibrium Phosphate Download Scientific Diagram



Answered 3 A Firm Has The Foliowing Total Cost Bartleby



If P And Q Are Two Statement Then P Q Is True When



10 Find The Equivalent Capacitance Between The Pointsp And Q As Shown In Figure Given C 18 Uf Brainly In



The Contrapositive Of The Sentence P Q Is Equivalent To



Suppose P And Q Are Matrices Of Order 3 X N And N X P Order Of P X Q



Math P Q



The Truth Table Represents Statements P Q And R Which Row Represent When P Q V P R Brainly Com



Http Econ Tu Ac Th Class Archan Supawat Ee311 Ans hw5 Pdf



C P Qp Questions 95 Spoiler Mcat



The Relation Between Flow Q Pressure Difference Over A Tube P 1 Download Scientific Diagram



Newsvendor Model Wikipedia



For The Cost And Price Functions Below Find A The Chegg Com



Using Properties Of Determinants Prove That B C Q R Y Z C A R P Z X A B P Q X Y 2 A P X B Q Y C R Z Sarthaks Econnect Largest Online Education Community



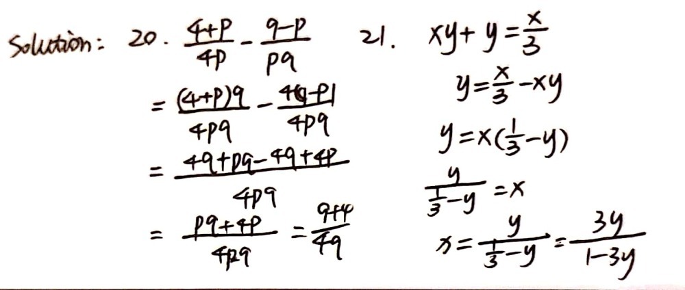
Express 4 P 4p Q P Pq As A Single Fraction Gauthmath



Show That A B C Sqrt A Sqrt B Sqrt C In Mathbb Q Implies Sqrt A Sqrt B Sqrt C In Mathbb Q Mathematics Stack Exchange



Suppose A Firm Has The Following Profit Function Chegg Com



Hayward Aqv K C Q P Ss Hex Hd Screw 1 4 x5 8in Leslie S Pool Supplies



If The Points P A 2b C Q 2a 3b R B Tc Are Collinear Where A B C Are Three Youtube



Program Analysis And Verification 0368 4479 Noam Rinetzky



Prove That A 2 P Q P R B 2 Q R Q P C 2 R P R Q 4 Delta 2 Mathematics Stack Exchange



Ex 9 2 11 Sum Of First P Q R Terms Of Ap Are A B C



Search Q Logical Equivalence Examples Tbm Isch



If The Points A 1 0 6 B 3 P Q And C 5 9 6 Are Collinear Find The Value Of P An Youtube



1



Qp C About Qp C


コメント
コメントを投稿